熱搜關鍵詞: 場館照明 鄭州線性燈定制 線性燈怎么安裝 線性燈哪家好
導致近視的原因有很多,眼疲勞當然也是其中一個,但個人認為現在近視率陡然增高的原因,應該是人眼自然光的缺少。人眼從農業時代、工業時代,到現在的物聯網時代,社會環境的最大變化就是光照。進入眼睛的從過去長時間的戶外反射式自然光到現在室內直射式屏幕人造光。
眼睛經過億萬年才適應自然光,而人造光才出現短短幾十年,眼睛怎么可能在這么短的時間內進化到適應人造光,這樣不利的光環境自然會對眼睛造成傷害。
人類和動物對近視的研究中,有越來越多的證據表明,環境光暴露是調節眼睛生長的重要因素。
在正常晝夜光照/黑暗周期下飼養的雞,其屈光發育一樣受到光照水平的影響,高光照水平(10000lux)下飼養的小雞近視度數明顯低于每天暴露在低光照(50lux)水平下飼養的小雞。
另外,一項來自澳大利亞的昆士蘭理工大學驗光與視覺科學學院的Michael J. Collins等人,2015年10月在國際眼科權威的基礎研究雜志《IOVS》上發布的一項新研究。對101名10-15歲的兒童(41名近視眼和60名非近視眼)進行長達18個月的觀察研究,通過手腕上的光傳感器來收集每個孩子在這18個月里的平均日曝光量。

結果如上圖所示,發現沒有近視的兒童接受的日均光照量要比近視的兒童明顯更高。在這十八個月里,近視兒童(紅色線)的眼軸平均增長為0.19mm,而非近視兒童(藍色線)僅平均增加0.05mm。中度和高光照組與低曝光量組相比眼軸的平均生長速度降低了59%,缺少光照的近視兒童眼軸的增長速度明顯快于日均光照量更高的非近視兒童,由此可見暴露于更高的日均光照量可以延緩眼軸的增長。
近視的發生就是由于眼軸增長過快,把眼球撐大了,視網膜后移,造成光焦點與視網膜的距離拉遠,導致物像模糊。
室外的自然光強度正常來說在11080-18176勒克斯之間,即便你在樹蔭下,其強度也有5556-7876勒克斯,戴個帽子也有4112-8156勒克斯,戴太陽鏡光線強度水平在1792-6800勒克斯之間??墒鞘覂鹊娜嗽旃猸h境光線強度只有112-156勒克斯而已,人們在室內長時間工作,眼睛根本沒機會到戶外接收高強度的自然光照,導致眼軸長快了。
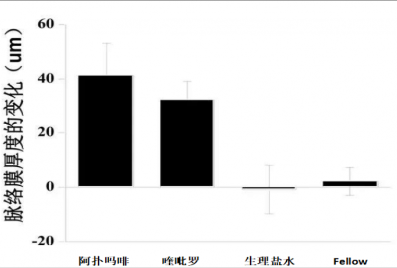
戶外的自然光,是一種全光譜高強度光照,其有利于促進多巴胺分泌。多巴胺介導眼睛生長抑制,在脈絡膜上游起作用,會引起脈絡膜厚度的短暫增加。在玻璃體中注射非特異性多巴胺激動劑阿撲嗎啡和喹吡羅,發現會導致近視眼的脈絡膜厚度顯著增加。如下圖所示。

佩戴-10D鏡片的眼睛注射多巴胺激動劑后3小時內脈絡膜厚度的變化
脈絡膜厚度與眼軸長度呈負相關,脈絡膜越厚,眼軸就會越短。脈絡膜增厚,似乎是給予眼軸生長減慢的一種信號,只要脈絡膜增厚,眼軸的增長就會減緩。
當人們由于工作或學習的原因,沒有空閑的時間到戶外,讓眼睛接收高強度的自然光刺激,導致多巴胺分泌減少,從而脈絡膜變薄,眼軸增長加快,促使近視的發生及發展。另外,沒有足夠的自然光照刺激,也會導致眼球和角膜發育異常,這也會誘發近視。
現在近視已經趨向低齡化發展,越來越多的兒童青少年早早就患上了近視,成年人直接進展成高度近視,因此,提倡小朋友要多到戶外活動,重點也不是在活動,而是給眼睛增加自然光照刺激,以此預防近視發生及發展。給學生們每天留出戶外活動的時間,亟待引起重視。
注:本文章轉載中國照明網,如著作權人發現本網轉載了其擁有著作權的作品時,請主動與本網聯系,本網將及時修改或刪除。
電話咨詢
在線咨詢
微信咨詢